Дам 15 баллов.. / ..это дроби. Задание 4 . Упростите выражение
4 2/3а -а+1 1/12 а
СПАСИБО !!! (За ранее )
Поясните желательно
Ответы
Ответ дал:
0
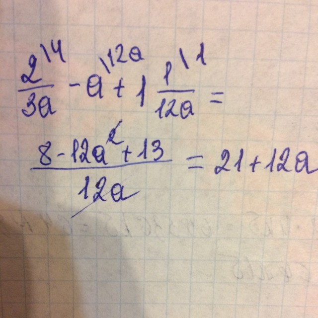
Вроде так, но я не уверена
Приложения:

Ответ дал:
0
Спасибо за старание )
Ответ дал:
0
14/3 а-а+13/12а (находим общий знаменатель 12)
(56а-12а+13а)/12=57а/12=19а/4
(56а-12а+13а)/12=57а/12=19а/4
Приложения:

Ответ дал:
0
Спасибо вам большое ! Спасли
Ответ дал:
0
ну так что с "а" ?
Ответ дал:
0
я решала в числителе " а"
Ответ дал:
0
Правильно
Вас заинтересует
2 года назад
2 года назад
3 года назад
3 года назад
9 лет назад
9 лет назад
10 лет назад