Ответы
Ответ дал:
0
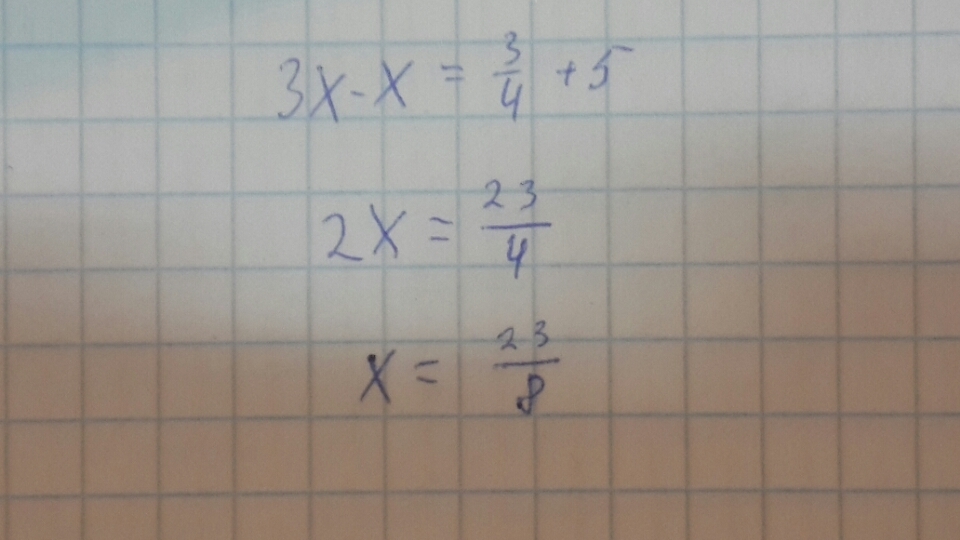
3x-x=3/4+5
2x=23/4
x=23/8
2x=23/4
x=23/8
Приложения:

Ответ дал:
0
3х-х=5+34
2х=5 34
х=5 34:2
х=2,875
х=2 78
2х=5 34
х=5 34:2
х=2,875
х=2 78
Приложения:

Ответ дал:
0
скажите а между 5 и 3 какой знак?
Ответ дал:
0
плюс
Ответ дал:
0
спасибо
Вас заинтересует
3 года назад
3 года назад
9 лет назад
9 лет назад
10 лет назад