Ответы
Ответ дал:
0
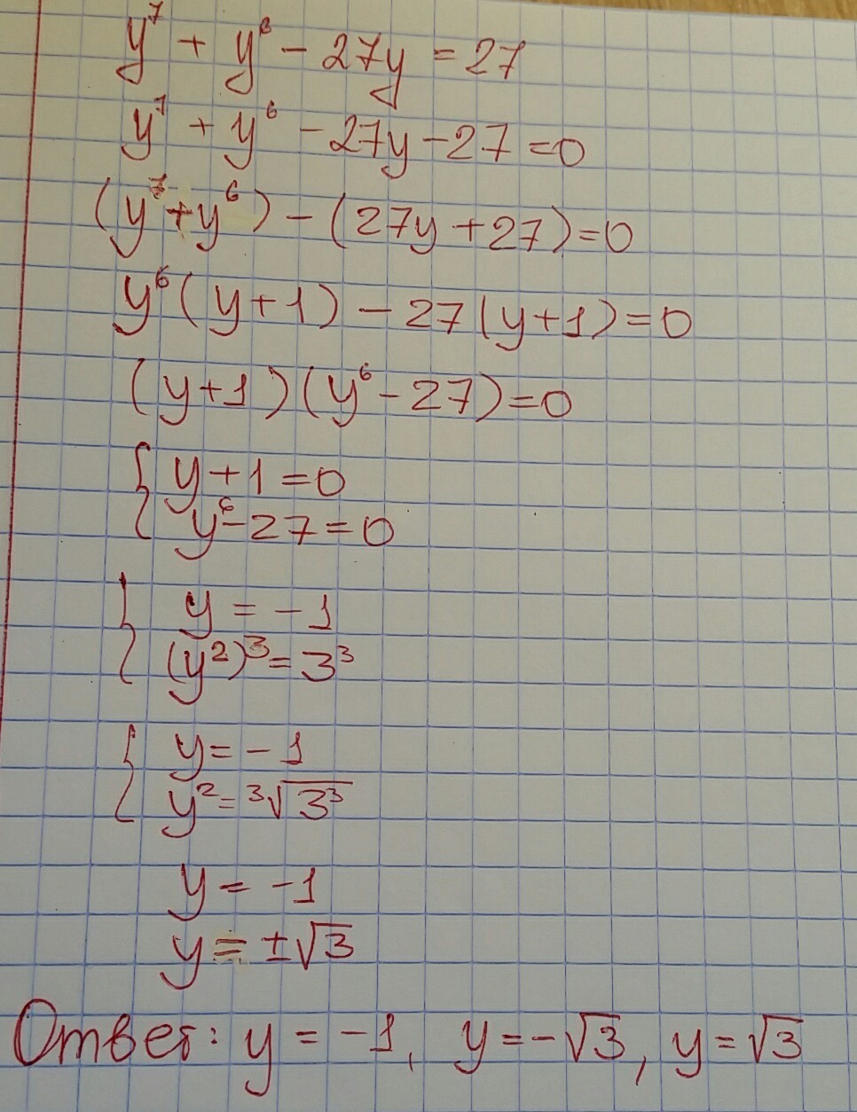
Надеюсь, что все понятно
Приложения:

Вас заинтересует
2 года назад
2 года назад
3 года назад
3 года назад
9 лет назад
9 лет назад
10 лет назад