Ответы
Ответ дал:
0
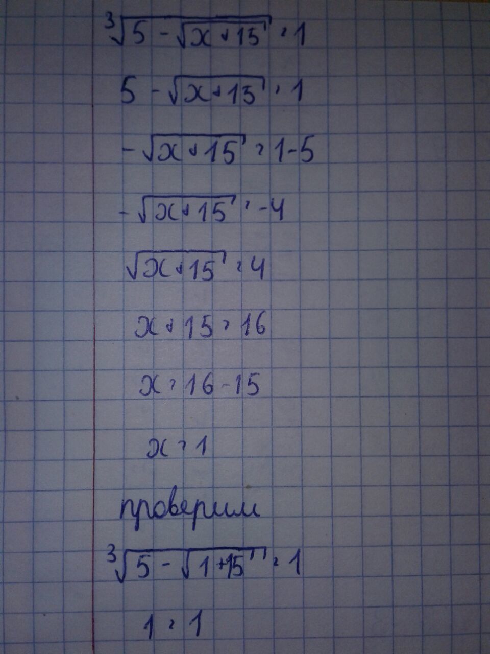
Ответ во вложении (◕‿◕)
Приложения:


Ответ дал:
0
Спасибо Вам. Понял свои ошибки.
Вас заинтересует
2 года назад
3 года назад
3 года назад
9 лет назад
10 лет назад