• Предмет: Математика
  • Автор: JDMLover
  • Вопрос задан 9 лет назад

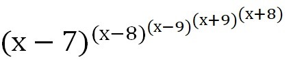
Парни спасайте прошу если не сделаю мне хана  х=10

Приложения:

Ответы

Ответ дал: 456456456top
0
x=10
10-7 = 3
10-8 = 2
10-9 = 1
10+9 = 19
10+8 = 18
3*2*1*19*18=2052
Вас заинтересует