• Предмет: Математика
  • Автор: redowl1
  • Вопрос задан 9 лет назад

ПОМОГИТЕ ПОЖАЛУЙСТА УПРОСТИТЬ

Приложения:

Ответы

Ответ дал: Евгений163163
0
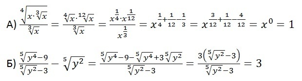
Все решается примерно так, как показано на прикрепленном рисунке...
Приложения:
Ответ дал: redowl1
0
Спасибо большое
Ответ дал: Евгений163163
0
в примере "б" также можно было воспользоваться формулой разности квадратов.
Вас заинтересует