• Предмет: Алгебра
  • Автор: МистерШаманио
  • Вопрос задан 9 лет назад

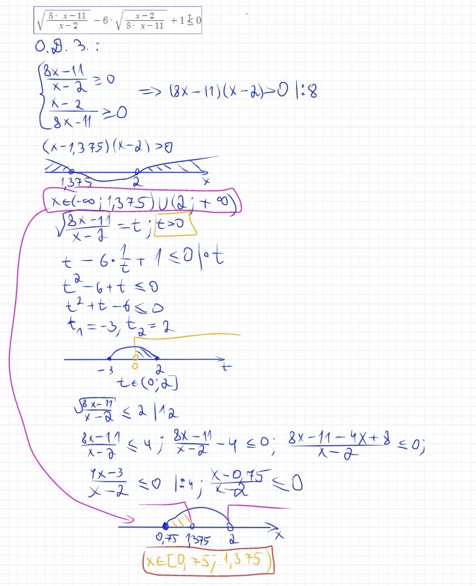
Решите , пожалуйста, неравенство...

Приложения:

Ответы

Ответ дал: volkodav575
0
Решениеееееееееееееее
Приложения:
Вас заинтересует