• Предмет: Алгебра
  • Автор: 1HeDgEhOg1
  • Вопрос задан 9 лет назад

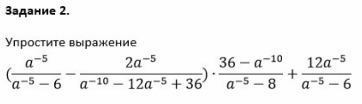
ПОМОГИТЕ! Только один пример и 35 баллов! Только с решениями!

Приложения:

Ответы

Ответ дал: maria7017
0
полное решение смотрите в прикрепленном файле
Приложения:
Вас заинтересует