Ответы
Ответ дал:
0
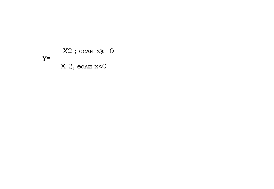
1. при х = 2 у = 4, при х = 0 у = 0
2. при х = -1 у = - 3 при х = -2 у =-4 и дальше черетжь по этим точкам
2. при х = -1 у = - 3 при х = -2 у =-4 и дальше черетжь по этим точкам
Ответ дал:
0
Y=X20
Y=-x2. ....
Y=-x2. ....
Вас заинтересует
3 года назад
3 года назад
8 лет назад
11 лет назад
11 лет назад
11 лет назад