• Предмет: Математика
  • Автор: христина53
  • Вопрос задан 9 лет назад

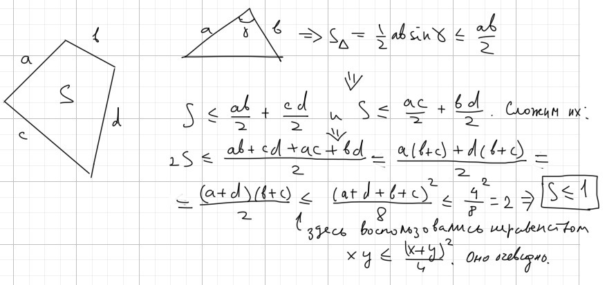
перимeтр чотирикутника нe більшe 4 см , довeсти , що площа нe більшe 1 .

Ответы

Ответ дал: Denik777
0
Решение прицеплено в картинке.
Приложения:
Вас заинтересует