Ответы
Ответ дал:
0
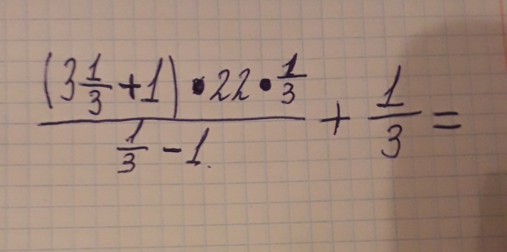
1) 3 1/3+1=4 1/3=13/3
2) 13/3*22=286/3
3) 286/3*1/3=286/9=31 7/9
4) 1/3-1=-2/3
5) 286/9:(-2/3)=-(286*3)/(9*2)=-143/3=-47 2/3
6)-47 2/3+1/3=-47 1/3
2) 13/3*22=286/3
3) 286/3*1/3=286/9=31 7/9
4) 1/3-1=-2/3
5) 286/9:(-2/3)=-(286*3)/(9*2)=-143/3=-47 2/3
6)-47 2/3+1/3=-47 1/3
Вас заинтересует
2 года назад
2 года назад
3 года назад
3 года назад
9 лет назад
9 лет назад
10 лет назад