Ответы
Ответ дал:
0
вот проверь,надеюсь правильно
Приложения:

Ответ дал:
0
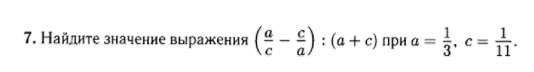
112/33 * 33/14 = 8
Ответ дал:
0
это не вошло
Ответ дал:
0
в скрин
Вас заинтересует
2 года назад
2 года назад
3 года назад
3 года назад
9 лет назад
9 лет назад
10 лет назад
10 лет назад