• Предмет: Алгебра
  • Автор: Dkflf123456
  • Вопрос задан 9 лет назад

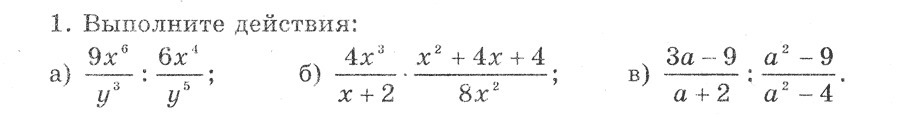
Алгебра 8 класс решите пожалуйста

Приложения:

Ответа на этот вопрос пока нет. Попробуйте найти его через форму поиска.

Вас заинтересует