• Предмет: Алгебра
  • Автор: Мелинка1
  • Вопрос задан 9 лет назад

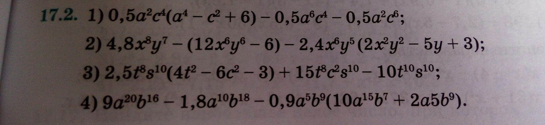
решите пожалуйста примеры номер 17.2 (3, 4)

Приложения:

Ответы

Ответ дал: marinaеее
0
10t^10s^10-15t^8s^10c^2-7.5t^8s^10+15t^8s^10c^2-10t^10s^10=-7.5t^8s^10
Ответ дал: aundalova
0
3)10t^10s^10-15c^2t^8s^10-7,5t^8s^10+15t^8c^2s^10-10t^10s^10=-7,5t^8s^10
4)9a^20b^16-1,8a^10b^18-9a^20b^16-1,8a^10b^18=-3,6a^20b^36
Вас заинтересует