• Предмет: Математика
  • Автор: JoJo320
  • Вопрос задан 9 лет назад

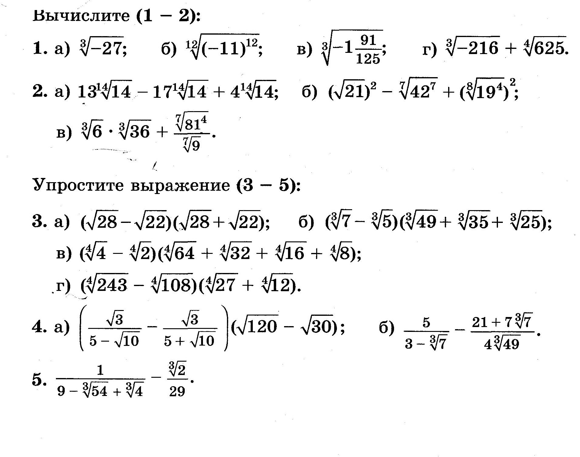
Помогите пожалуйста с математикой

Приложения:

Ответы

Ответ дал: kasumovarsen4ik
0
1. а) -3
    б) 11
    в) - 1,2 
    г) -1
2. а)
    б) -2
    в)
3. а) 6
    б)
    в)2
Ответ дал: JoJo320
0
2 a)0
Вас заинтересует