• Предмет: Физика
  • Автор: piratefoxy27
  • Вопрос задан 9 лет назад

Плиз помогите
Номер три

Приложения:

Ответы

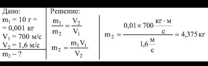
Ответ дал: Принцесска1111122
0
Ответ находится в изображении)
Приложения:
Вас заинтересует