Ответы
Ответ дал:
0
Здесь все просто:
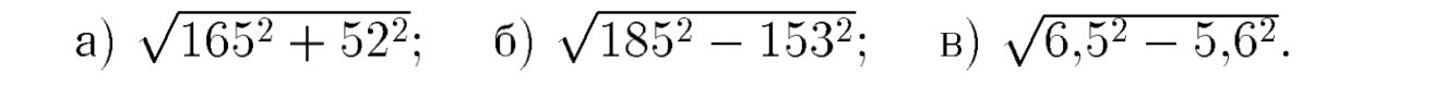
Если число стоит в квадрате и под корнем,то корень и квадрат убирается
и решается то выражение,которое стоит под корнем,т.е
А) равно 217
Б) равно 32
В) равно 0,9
Если число стоит в квадрате и под корнем,то корень и квадрат убирается
и решается то выражение,которое стоит под корнем,т.е
А) равно 217
Б) равно 32
В) равно 0,9
Вас заинтересует
2 года назад
3 года назад
3 года назад
9 лет назад
10 лет назад