Ответы
Ответ дал:
0
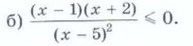
ОДЗ:х не равно 5
1)(х-1)(х+2)=0
х^2+2х-х-2=0
х^2+х-2=0
д=1-4*(-2)=1+8=9, корень из 9=3
х1=(-1+3)/2=1
х2=(-1-3)/2=-2
2)(х-5)^2<0
x^2-10x+25<0
д=100-100=0
х1,2=10/2=5
Ответ: так как по ОДЗ х-не равно 5=> x1=1 x2=-2
1)(х-1)(х+2)=0
х^2+2х-х-2=0
х^2+х-2=0
д=1-4*(-2)=1+8=9, корень из 9=3
х1=(-1+3)/2=1
х2=(-1-3)/2=-2
2)(х-5)^2<0
x^2-10x+25<0
д=100-100=0
х1,2=10/2=5
Ответ: так как по ОДЗ х-не равно 5=> x1=1 x2=-2
Ответ дал:
0
Спасибо вам!
Вас заинтересует
2 года назад
3 года назад
3 года назад
10 лет назад
10 лет назад