• Предмет: Математика
  • Автор: bhawk2017
  • Вопрос задан 9 лет назад

Помощь.. ребята нужна помощь.
подробное решение позарез нужно.
Спасибо вам.

Приложения:

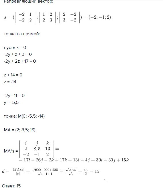
Ответы

Ответ дал: IrkaShevko
0
решение в файлах внизу
Приложения:
Вас заинтересует