Ответы
Ответ дал:
0
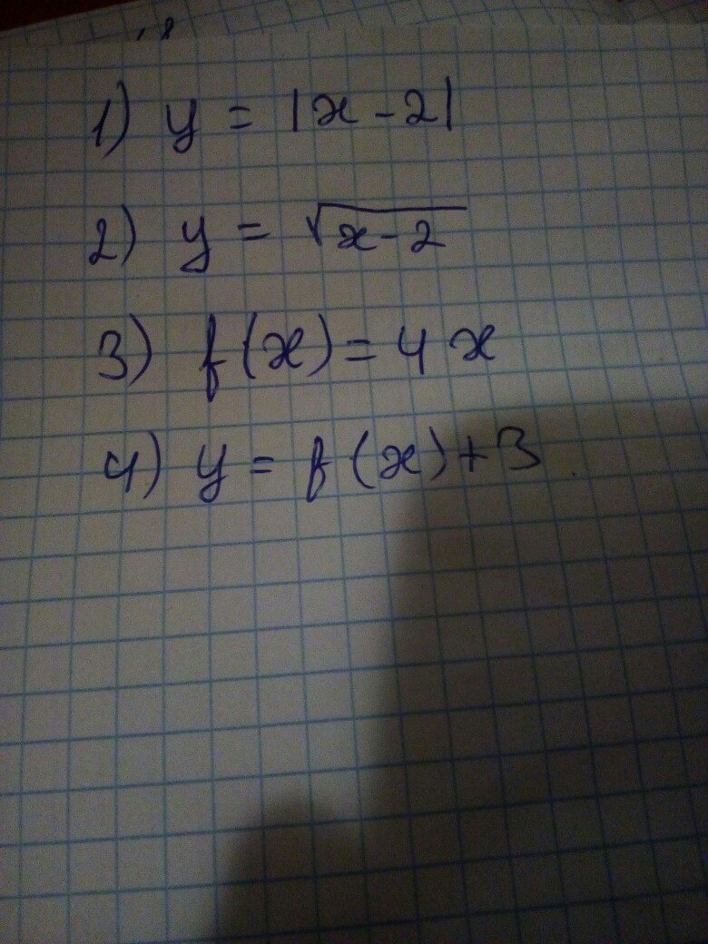
Графики во вложении
4) y=f(x)+3,получается из графика у=f(x) - параллельным переносом на 3 единицы вверх каждой точки
4) y=f(x)+3,получается из графика у=f(x) - параллельным переносом на 3 единицы вверх каждой точки
Приложения:
Вас заинтересует
2 года назад
2 года назад
3 года назад
3 года назад
9 лет назад
9 лет назад
10 лет назад