• Предмет: Математика
  • Автор: 027495853828204
  • Вопрос задан 9 лет назад

Найдите корни уравнений:
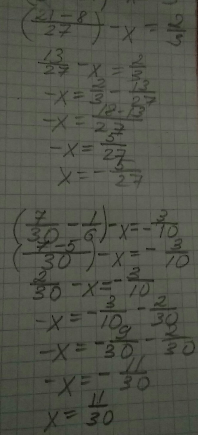
(7/9 - 8/27) - х = 2/3;
(7/30 - 1/6) - х = -3/10

Ответы

Ответ дал: gfdehk
0
1) -5/27
2)11/30
У меня так.
Приложения:
Вас заинтересует