• Предмет: Алгебра
  • Автор: alinamalinachka
  • Вопрос задан 9 лет назад

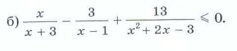
Помогите пожалуйста решить ! Это неравенство !

Приложения:

Ответа на этот вопрос пока нет. Попробуйте найти его через форму поиска.

Вас заинтересует