начерти прямоугольник ,ширина которого 3 см , а длина в 2 раза больше . Вычисли периметр и плошадь этого прямоугольника
Ответы
Ответ дал:
0
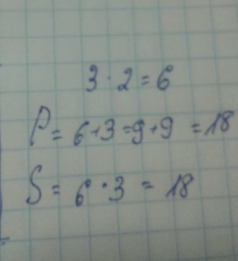
6 длина P=6+3=9+9=18 S=6#3=18 #=это умножение
Ответ дал:
0
вроде так. если не так то извини
Приложения:
Вас заинтересует
2 года назад
2 года назад
3 года назад
3 года назад
9 лет назад
9 лет назад
10 лет назад
10 лет назад