Ответы
Ответ дал:
0
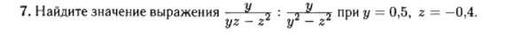
0,5/0,5*(-0.4)-(-0.4)^2:0.5/0.5^2-(-0.4)^2=
Ответ дал:
0
Вот. Просто подставляешь цифры, и все
Приложения:

Ответ дал:
0
-1/4=-0,25
Вас заинтересует
2 года назад
2 года назад
3 года назад
3 года назад
9 лет назад
9 лет назад