• Предмет: Алгебра
  • Автор: smirnovar2016
  • Вопрос задан 9 лет назад

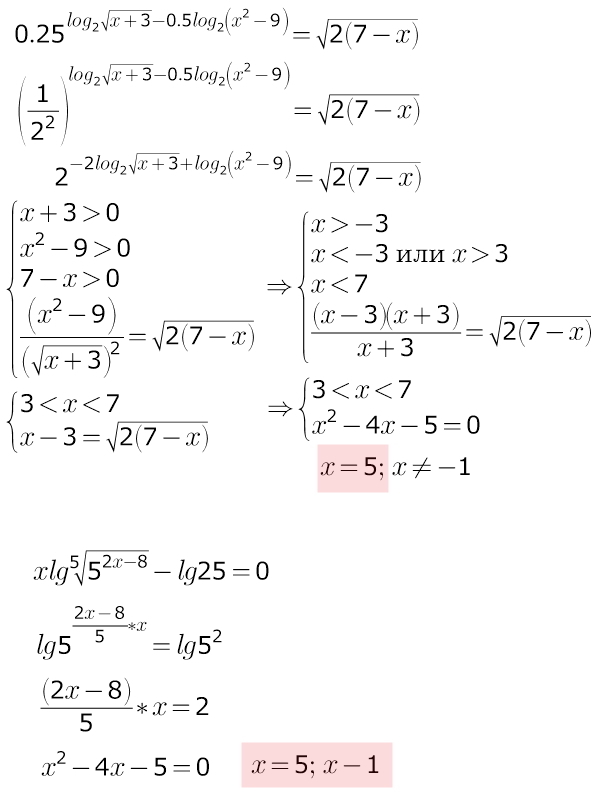
решите уравнения по алгебре

Приложения:

Ответы

Ответ дал: LFP
0
интересно, что в обоих случаях одинаковые квадратные уравнения в итоге получились))
Приложения:
Вас заинтересует