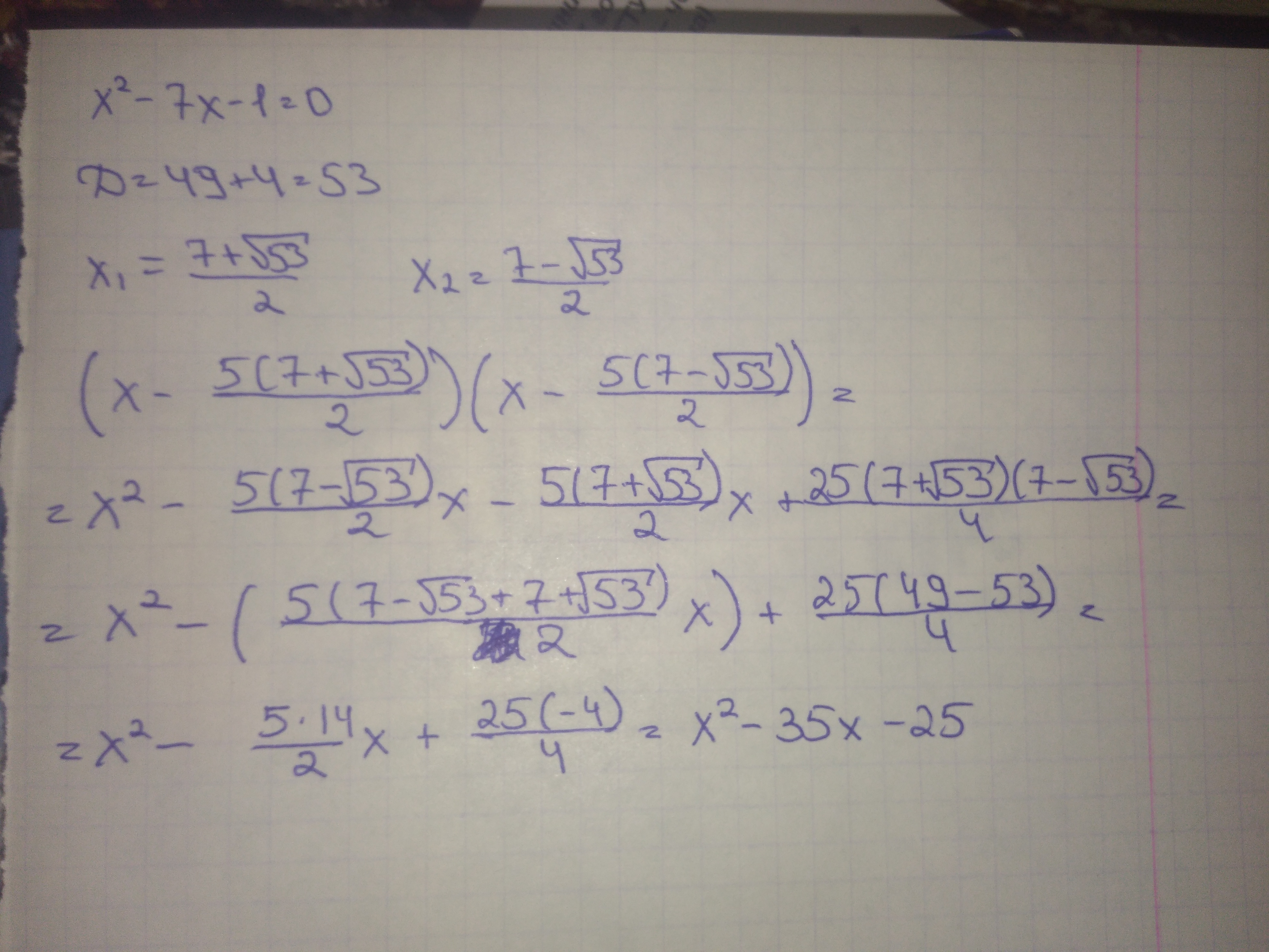
Пусть х1 и х2 корни квадратного уравнения х^2-7х-1=0
Составьте квадратное уравнения корнями которого будут числа 5х1 и 5х2
Ответы
Ответ дал:
0
решение на прикрепленном фото
Приложения:

Вас заинтересует
3 года назад
3 года назад
9 лет назад
9 лет назад
10 лет назад
10 лет назад