Ответы
Ответ дал:
0
2) (/ ДРОБЬ)
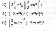
(9/4x³y)×(1/4xy²)=9/4x³y×1/4xy²=9/16x^4y³
4)(2a²b)²×(-(a²b³)³)=-4a^4b²a^6b^9=-4a^10b^11
6) -(3/7m³n)²×(-(7mn²)³)=-(3/7m³n)²×343m³n^6=-343×(3/7m³n)²×m³n^6=-343×9/49m^6n²m³n^6=-7×9m^6n²m³n^6=-63m^9n^8
(9/4x³y)×(1/4xy²)=9/4x³y×1/4xy²=9/16x^4y³
4)(2a²b)²×(-(a²b³)³)=-4a^4b²a^6b^9=-4a^10b^11
6) -(3/7m³n)²×(-(7mn²)³)=-(3/7m³n)²×343m³n^6=-343×(3/7m³n)²×m³n^6=-343×9/49m^6n²m³n^6=-7×9m^6n²m³n^6=-63m^9n^8
Вас заинтересует
2 года назад
2 года назад
3 года назад
3 года назад
9 лет назад
9 лет назад
10 лет назад