• Предмет: Математика
  • Автор: ivzom
  • Вопрос задан 9 лет назад

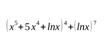
Знайти похідну (Найти производную)
Буду благодарен :)

Приложения:

Ответы

Ответ дал: VladShmorgun
0
y'=7( x^{5} +5 x^{4}+lnx)^{6} *(5x+20x+ frac{1}{x})+7(lnx)^{6}+ frac{1}{x}
Вас заинтересует