Ответы
Ответ дал:
0
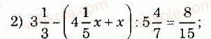
3 1/3-(4 1/5х+х):5 4/7=8/15
3 1/3-5 1/5х:5 4/7=8/15
5 1/5х:5 4/7=3 1/5-8/15
5 1/5х:5 4/7=2 2/3
5 1/5х=2 2/3×5 4/7
5 1/5х=14 6/7 (104/7)
х=14 6/7:5 1/5
х=20/7
Ответ: 2 6/7
3 1/3-5 1/5х:5 4/7=8/15
5 1/5х:5 4/7=3 1/5-8/15
5 1/5х:5 4/7=2 2/3
5 1/5х=2 2/3×5 4/7
5 1/5х=14 6/7 (104/7)
х=14 6/7:5 1/5
х=20/7
Ответ: 2 6/7
Вас заинтересует
3 года назад
3 года назад
10 лет назад