• Предмет: Математика
  • Автор: latyshkaterina
  • Вопрос задан 9 лет назад

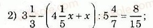
Помогите решить очень нужно!

Приложения:

Ответы

Ответ дал: catinboots
0
Где примеры ? Как ОТВЕЧАТЬ если не чего нет ?
Вас заинтересует