• Предмет: Математика
  • Автор: Evinlost
  • Вопрос задан 9 лет назад

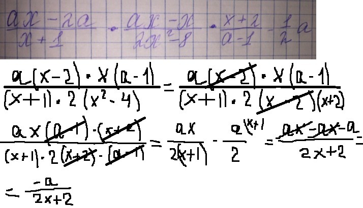
Помогите решить, задача в файле

Приложения:

Ответы

Ответ дал: lakOR555
0
во вложении.............................
Приложения:
Вас заинтересует