Помогите решить. Срочно!
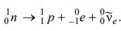
Покоящийся нейтрон распадается по схеме (на картинке).
Определить суммарную кинетическую энергию всех частиц, возникающих
в процессе распада нейтрона. Массой покоя антинейтрино пренебречь.
Приложения:
Ответа на этот вопрос пока нет. Попробуйте найти его через форму поиска.
Вас заинтересует
2 года назад
2 года назад
3 года назад
3 года назад
9 лет назад
10 лет назад
10 лет назад