Ответы
Ответ дал:
0
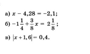
х - 4,28 = - 2,1
х = - 2,1 + 4,28
х = 4,28 - 2,1
х = 2,18
- 1 1/4 + 3/8х = 2 1/8
3/8х = 2 1/8 + 1 1/4
3/8х = 2 1/8 + 1 2/8
3/8х = 3 3/8
х = 3 3/8 : 3/8
х = 27/8 * 8/3
х = 9
|х + 1,6| = 0.4
х + 1,6 = 0,4 х + 1,6 = - 0,4
х = 0,4 - 1,6 х = - 0,4 - 1,6
х = - 1,2 х = - 2
х = - 2,1 + 4,28
х = 4,28 - 2,1
х = 2,18
- 1 1/4 + 3/8х = 2 1/8
3/8х = 2 1/8 + 1 1/4
3/8х = 2 1/8 + 1 2/8
3/8х = 3 3/8
х = 3 3/8 : 3/8
х = 27/8 * 8/3
х = 9
|х + 1,6| = 0.4
х + 1,6 = 0,4 х + 1,6 = - 0,4
х = 0,4 - 1,6 х = - 0,4 - 1,6
х = - 1,2 х = - 2
Вас заинтересует
2 года назад
2 года назад
3 года назад
9 лет назад
9 лет назад
10 лет назад