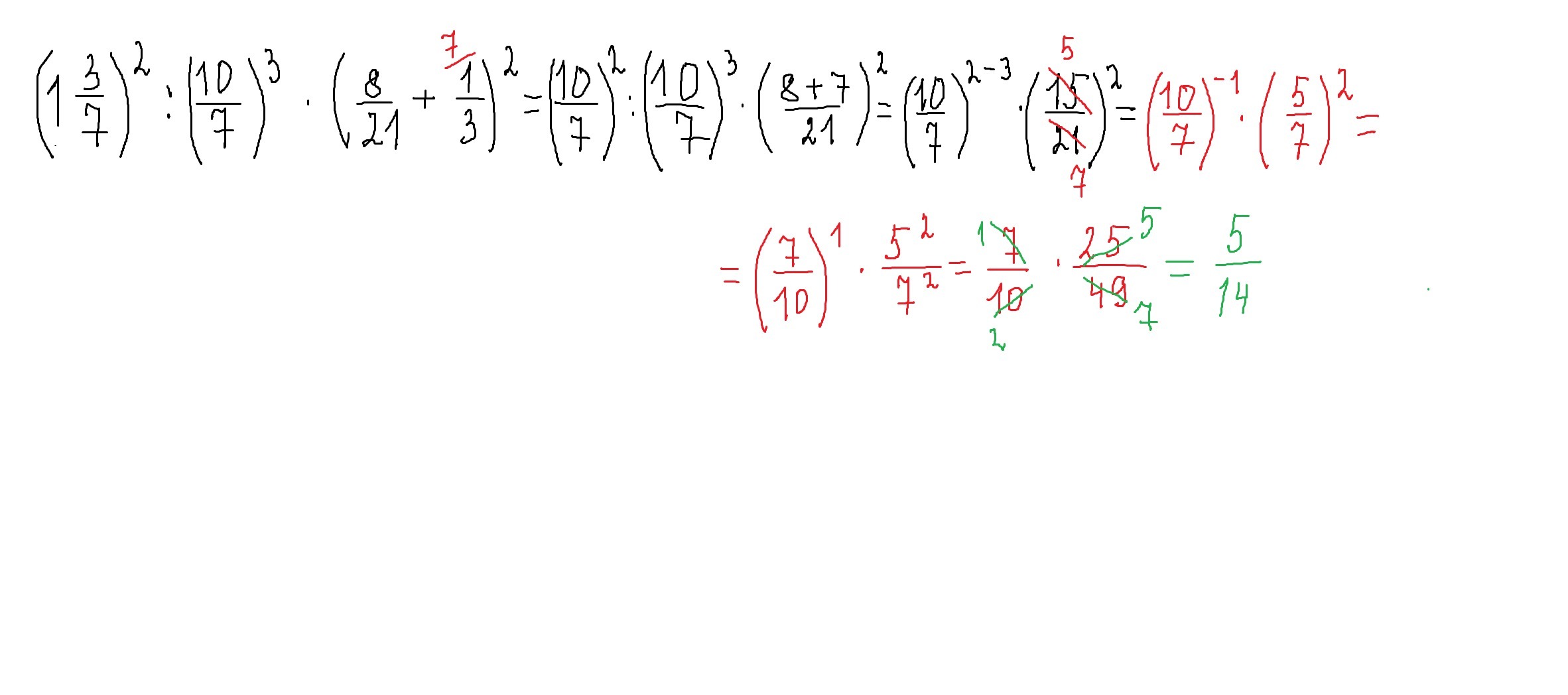
Люди пжжж срочно надо дам 39 баллов. Найди значение выражения 1 целая 3/7 во 2 степени разделить на 10/7 в 3 степени умножить на 8/21 + 1/3 во 2 степени
Ответы
Ответ дал:
0
смотри решение внизу
Приложения:
Вас заинтересует
2 года назад
2 года назад
3 года назад
3 года назад
9 лет назад
9 лет назад
10 лет назад