• Предмет: Алгебра
  • Автор: KrisS1
  • Вопрос задан 11 лет назад

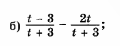
Нужно упростить :(
плииииз :зз

Приложения:

Ответы

Ответ дал: Аноним
0
 frac{t-3}{t+3} - frac{2t}{t+3} =  frac{t-3-2t}{t+3} = frac{-t-3}{t+3}=- frac{t+3}{t+3} = -1
Вас заинтересует