можете решить пожалуйста квадратное уравнение(чтобы в решении был дискрименант)
2
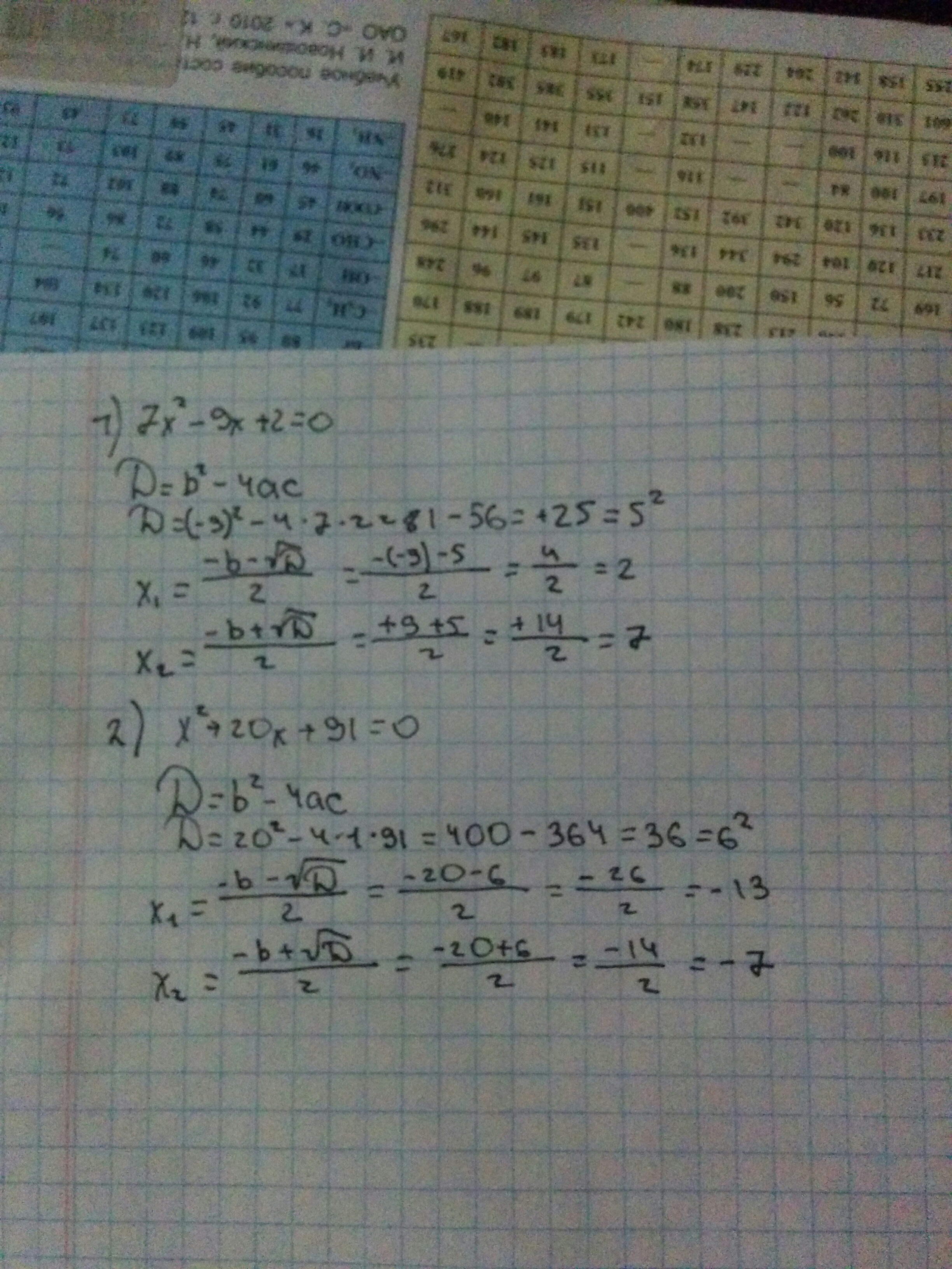
1. 7x -9x+2=0 (7х в квадрате)
2
2. х +20х+ 91=0 (х в квадрате)
Ответы
Ответ дал:
0
D = 400 - 364 = 36
;

Ответ дал:
0
Я не знала, надо тебе искать х1 и х2 , поэтому нашла оаоао
Приложения:

Ответ дал:
0
Если непонятно спрашивай
Ответ дал:
0
боги, спасибо!!
Вас заинтересует
2 года назад
2 года назад
3 года назад
3 года назад
9 лет назад
9 лет назад
10 лет назад
10 лет назад