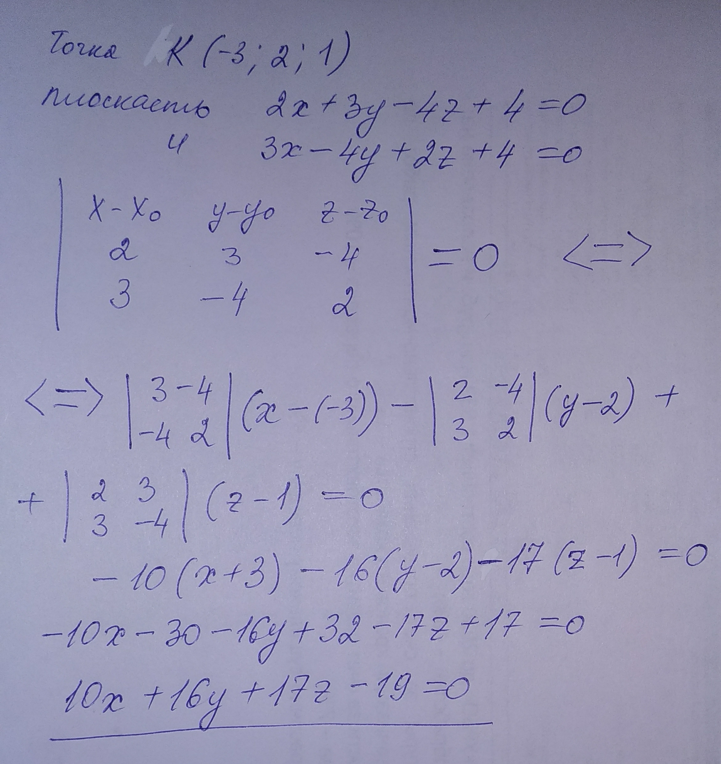
Написать уравнение плоскости, проходящей через точку K (-3;2;1) и перпендикулярной плоскостям 2x+3y-4z+4=0 и 3x-4y+2z+4=0
Ответы
Ответ дал:
0
Плоскость перпендикулярна одновременно двум другим плоскостям, то ее нормальный вектор можно найти как векторное произведение нормальных векторов двух плоскостей, тогда (решение ниже в приложении)
Уравнение плоскости

Уравнение плоскости
Приложения:
Ответ дал:
0
Огромное спасибо))
Вас заинтересует
2 года назад
2 года назад
3 года назад
9 лет назад
9 лет назад
10 лет назад