Ответы
Ответ дал:
0
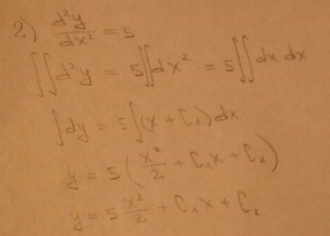
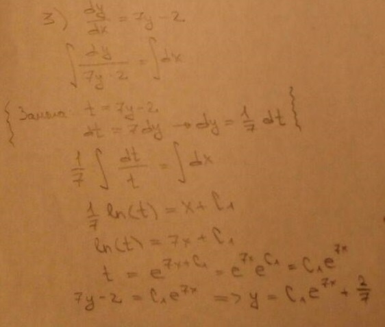
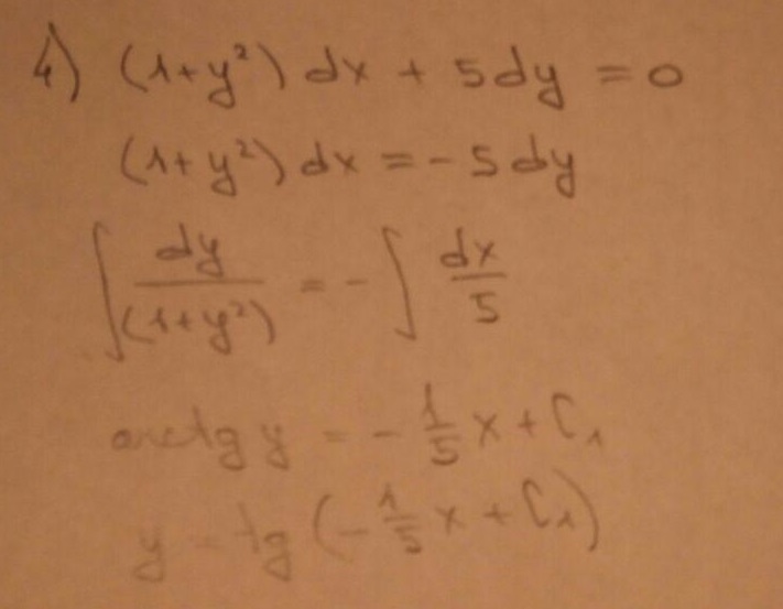
Прошу прощения за качество изображения.
Везде где я умножаю константу на какое-то число, я сразу же заношу это число под константу, поэтому если по выкладкам ты не можешь понять, куда делось какое-то число, то я занёс его под константу.
Везде где я умножаю константу на какое-то число, я сразу же заношу это число под константу, поэтому если по выкладкам ты не можешь понять, куда делось какое-то число, то я занёс его под константу.
Приложения:




Ответ дал:
0
Спасибо
Вас заинтересует
2 года назад
2 года назад
3 года назад
9 лет назад
9 лет назад
10 лет назад