Ответы
Ответ дал:
0
№1 одз: б²+7б+6≠0
дискриминант = 49-24=25, √25=5
х1=-7-5/2≠-6
х2=-7+5/2≠-1
3б³-3б=3б(б²-1)=3б(б-1)(б+1)=0
б=0, б=1, б=-1
При значениях б=0 и 1, уравнение = 0.
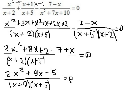
№2. х²+7х+10
д=49-40=9 √9=3
х1=-7-3/2=-5
х2=-7+3/2=-2
это под чертой дроби 7-х, это и значения одз
2х²+9х-5=0
д=81+40=121, √121=11
х1=-9-11/4=-5
х2=-9+11/4=2/4=1/2=0,5
ответ : о,5.
№3. х²+2х-9=18/х
если х=3, то у=6
если х=-3, то у=-6
если х=-2, то у=-9
дискриминант = 49-24=25, √25=5
х1=-7-5/2≠-6
х2=-7+5/2≠-1
3б³-3б=3б(б²-1)=3б(б-1)(б+1)=0
б=0, б=1, б=-1
При значениях б=0 и 1, уравнение = 0.
№2. х²+7х+10
д=49-40=9 √9=3
х1=-7-3/2=-5
х2=-7+3/2=-2
это под чертой дроби 7-х, это и значения одз
2х²+9х-5=0
д=81+40=121, √121=11
х1=-9-11/4=-5
х2=-9+11/4=2/4=1/2=0,5
ответ : о,5.
№3. х²+2х-9=18/х
если х=3, то у=6
если х=-3, то у=-6
если х=-2, то у=-9
Приложения:
Вас заинтересует
2 года назад
2 года назад
3 года назад
3 года назад
9 лет назад
10 лет назад