• Предмет: Алгебра
  • Автор: Koteno4ek2017
  • Вопрос задан 9 лет назад

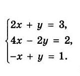
Помогите решить систему линейных уравнений, пожалуйста.

Приложения:

Ответа на этот вопрос пока нет. Попробуйте найти его через форму поиска.

Вас заинтересует