• Предмет: Математика
  • Автор: мама810
  • Вопрос задан 9 лет назад

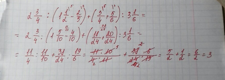
2целых3/4:(1целая1/2-2/5)+(3/4+5/6):3целых1/6 помогите срешением пожалуйста!!!!

Ответы

Ответ дал: BigBossDog
0
Ответ:3 Решение на фото
Приложения:
Ответ дал: мама810
0
спасибо большое за решение!!!!
Вас заинтересует