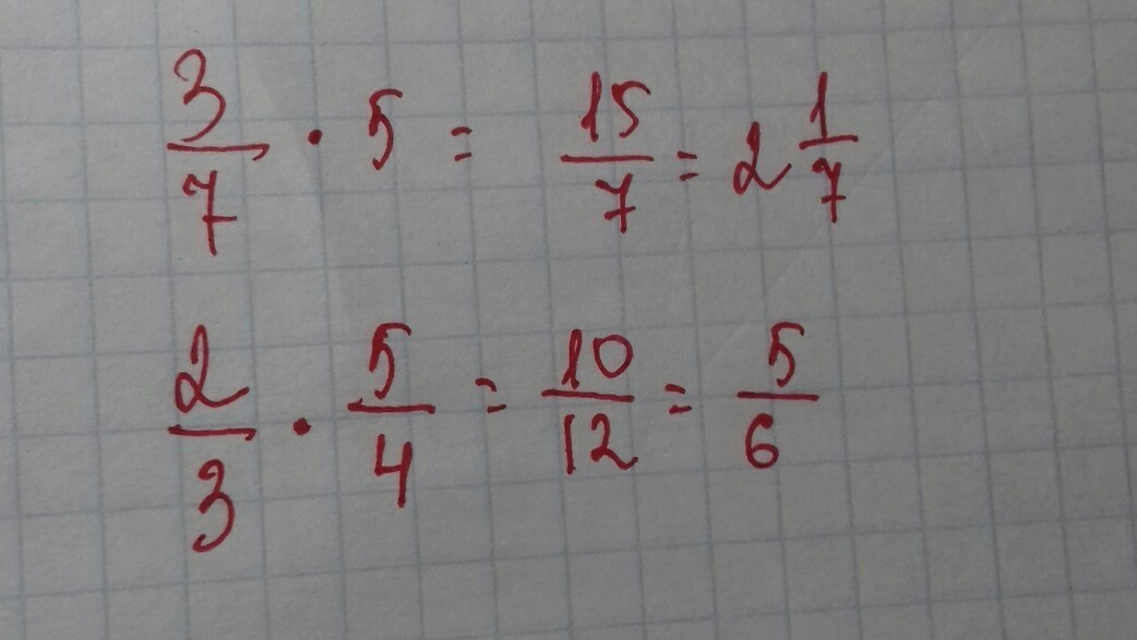
Выполните умножение
три седьмых умножить на 5
потом две третих умножить на пять четвёртых
простите просто подчеркивания нет
Ответы
Ответ дал:
0
Если я правильно поняла, тогда так
Приложения:

Ответ дал:
0
да спасибо
Вас заинтересует
2 года назад
3 года назад
3 года назад
9 лет назад
9 лет назад
10 лет назад