Ответы
Ответ дал:
0
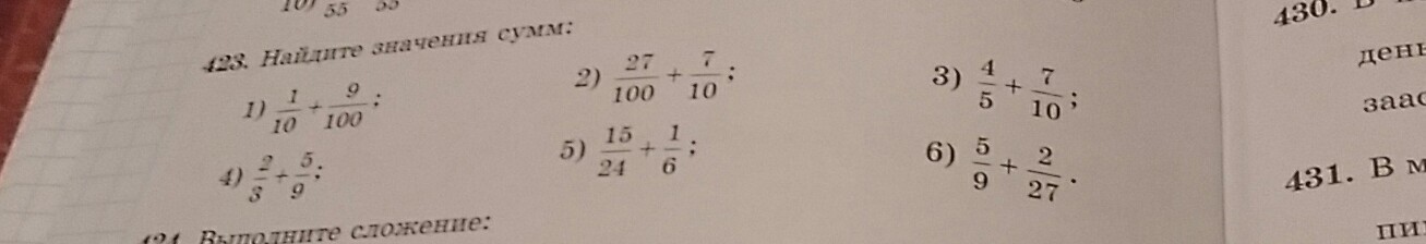
1)10/100+9/100=10/100=1/10=0,1
2)27/100+70/100=97/100
3)4/5+7/10=8/10+7/10=15/10=3/2=1 целая 1/2 или 1,5
4)6/9+5/9=11/9=1 целая 3/9=1 целая 1/3
5)15/24+4/24=19/24
6)15/27+2/27=17/27
2)27/100+70/100=97/100
3)4/5+7/10=8/10+7/10=15/10=3/2=1 целая 1/2 или 1,5
4)6/9+5/9=11/9=1 целая 3/9=1 целая 1/3
5)15/24+4/24=19/24
6)15/27+2/27=17/27
Вас заинтересует
2 года назад
3 года назад
3 года назад
9 лет назад