• Предмет: Алгебра
  • Автор: pokolev97
  • Вопрос задан 9 лет назад

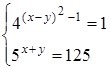
Решите систему уравнений с картинки:

Приложения:

Ответы

Ответ дал: saddatimov
0
 left { {{4^{(x-y)^2-1}=1} atop {5^{x+y}=125}} right. \\
4^{(x-y)^2-1}=1\
(x-y)^2-1 = 0\\
5^{x+y}=125\
5^{x+y}=5^3\
x + y = 3\\
 left { {{(x-y)^2-1 = 0} atop {x + y = 3}} right. \\
y = 3 - x\
(x-y)^2-1 = 0\
(x-(3-x))^2-1=0\
(2x-3)^2-1=0\
(2x-3)^2=1\\
2x-3=1\
2x=4\
x_1 = 2\\
2x-3=-1\
2x=2\
x_2=1\\
y_1 = 3-x_1=3-2=1\
y_2 = 3 - x_2 = 3-1=2\

Ответ: (2;1), (1;2)
Вас заинтересует