Ответы
Ответ дал:
0
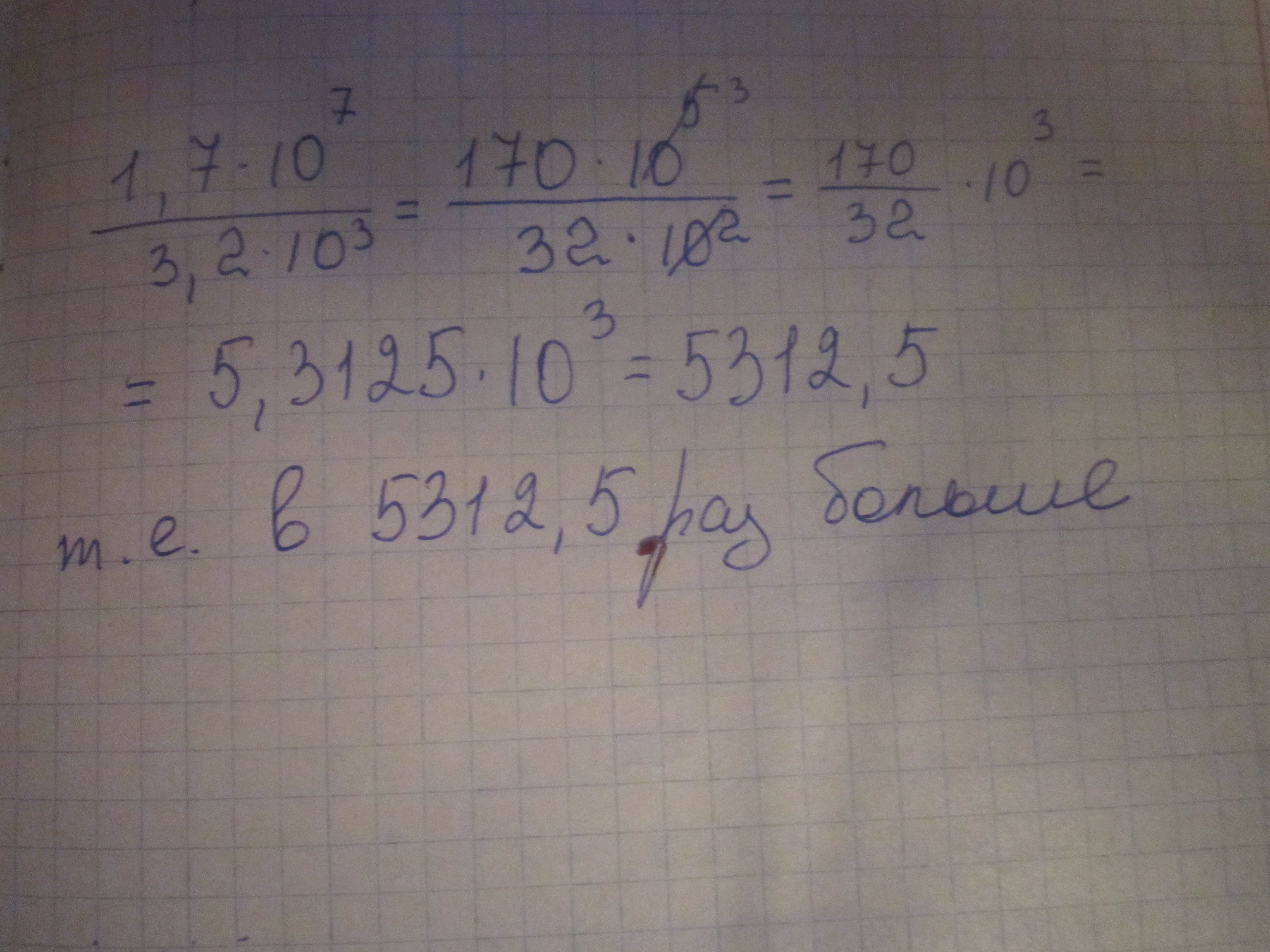
17 000 000 / 3 200 = 5 312,5
Ответ дал:
0
djjjjjjjjjjjjjjjjjjjjjjjjjjjjjjjjjjjjjjjjjjjjjjn
Приложения:

Ответ дал:
0
помогите пожалуйста https://znanija.com/task/26355125
Вас заинтересует
2 года назад
2 года назад
3 года назад
9 лет назад
9 лет назад
10 лет назад