Система1) 3x+y=14
-3x+5y=10
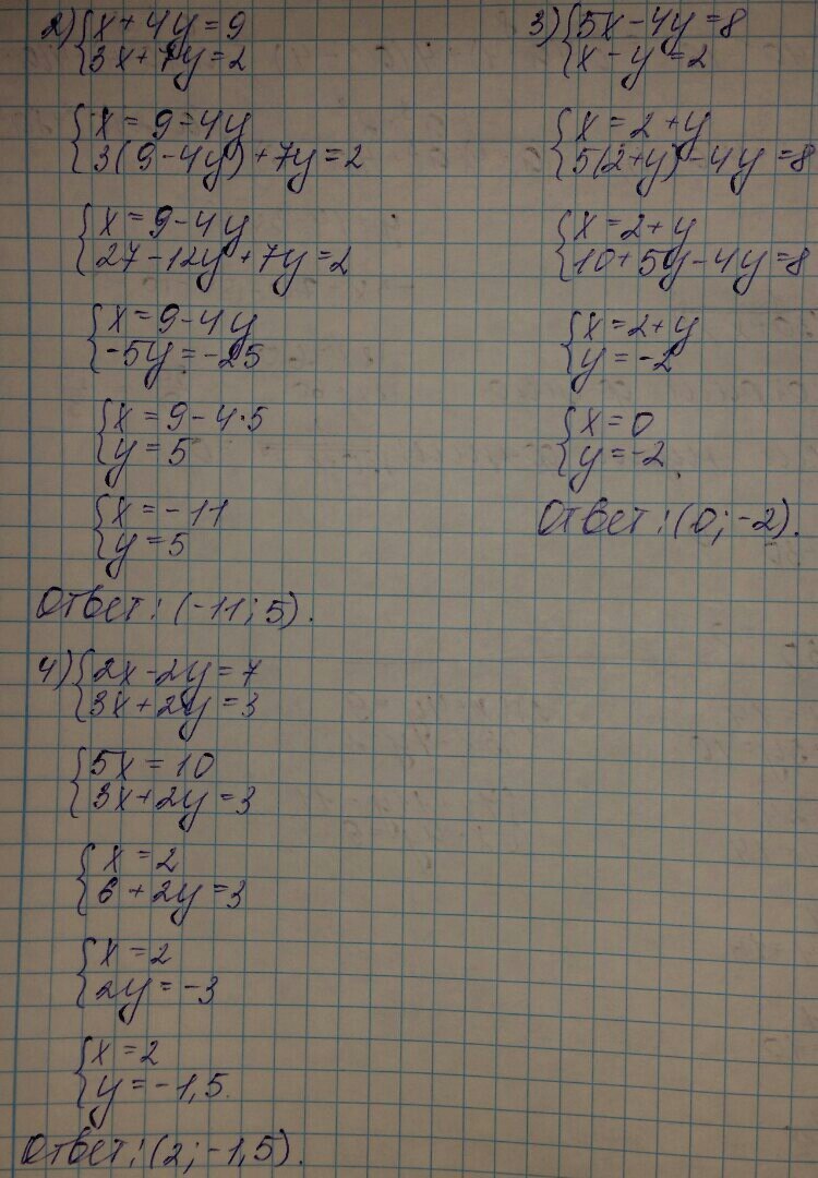
2)x+4y=9
3x+7y=2
3) 5x-4y=8
x-y=2
4)2x-2y=7
3x+2y=3
Помогите решить пожалуйста.
Ответы
Ответ дал:
0
1,4 - метод сложения
2,3 - метод подстановки
2,3 - метод подстановки
Приложения:


Вас заинтересует
2 года назад
2 года назад
3 года назад
3 года назад
9 лет назад
9 лет назад
10 лет назад
10 лет назад