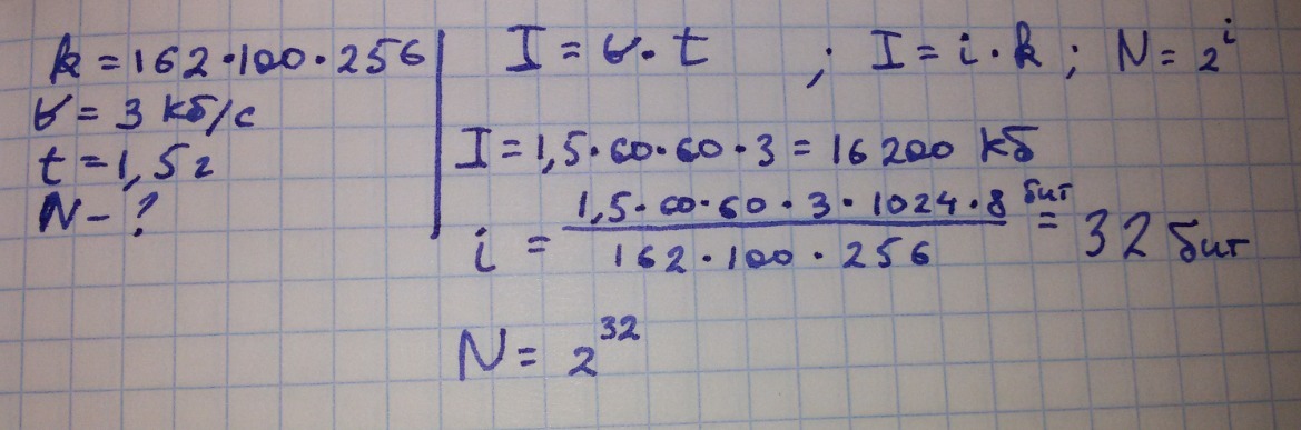
книга набранная с помощью компьютера содержит 162 странице на каждой странице 100 строк, в каждой строке 256 символ. определите мощность алфавита, если со скоростью 3 кб/с производилась передача 1.5 ч
Ответы
Ответ дал:
0
Вроде так.................
Приложения:
Вас заинтересует
2 года назад
3 года назад
3 года назад
9 лет назад
9 лет назад