Ответы
Ответ дал:
0
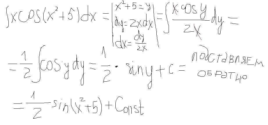
То что написано в скобках - это и есть подставление: вместо (х^2+5) подставляем y, находим интеграл и в конце снова возвращаем (х^2+5)
Приложения:

Ответ дал:
0
u или y
Ответ дал:
0
можно u , можно y, можно t. это не столь важно
Ответ дал:
0
спасибо
Вас заинтересует
2 года назад
3 года назад
3 года назад
9 лет назад
9 лет назад
10 лет назад