• Предмет: Математика
  • Автор: Nemuverus
  • Вопрос задан 9 лет назад

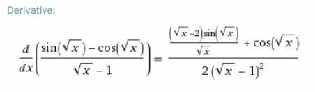
найти производную функции. Листик с решением скиньте, пжл.

Приложения:

Ответы

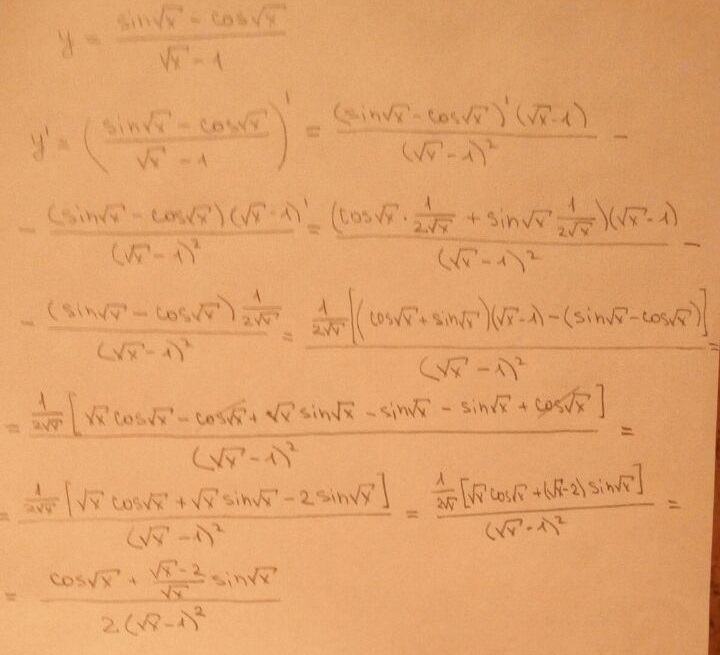
Ответ дал: Rosenstein
0
(u/v)' = (u'v - uv')/v^2
(√x)' = 1/(2√x)
f(g(x)) = f'(g) * g'(x)

+проверка с WolframAlpha
Приложения:
Вас заинтересует