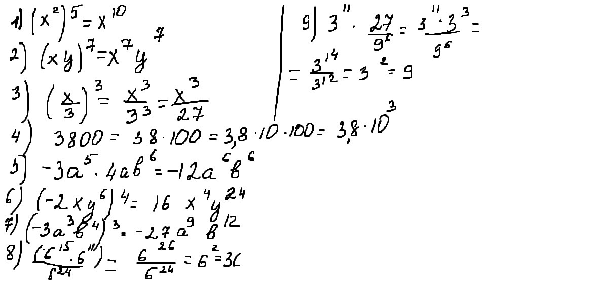
1) (x^2)^5
2)(xy)^7
3)(x/3)^3
4) привести в стандартный вид: 3800
5)-3a^5*4ab^6
6)(-2xy^6)^4
7)(-3a^3b^4)^3
8)6^15*6^11/6^24
9)3^11*27/9^6
Ответы
Ответ дал:
0
ЭТО ЛЕГКО........................
Приложения:

Вас заинтересует
2 года назад
2 года назад
3 года назад
3 года назад
9 лет назад
10 лет назад